Упр.82 ГДЗ Макарычев Миндюк 8 класс (Алгебра)
Решение #1
Решение #2
Решение #3

Рассмотрим вариант решения задания из учебника Макарычев, Миндюк, Нешков 8 класс, Просвещение:
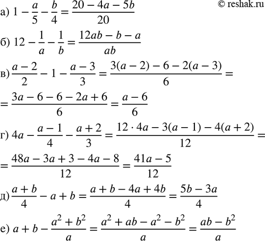
82. Представьте в виде дроби:
а) 1-a/5-b/4;
б) 12-1/a-1/b;
в) (a-2)/2 - 1-(a-3)/3;
г) 4a - (a-1)/4 - (a+2)/3;
д) (a+b)/4-a+b;
е) a+b-(a2+b2)/a.
*размещая тексты в комментариях ниже, вы автоматически соглашаетесь с пользовательским соглашением