Упр.76 ГДЗ Макарычев Миндюк 8 класс (Алгебра)
Решение #1
Решение #2

Рассмотрим вариант решения задания из учебника Макарычев, Миндюк, Нешков 8 класс, Просвещение:
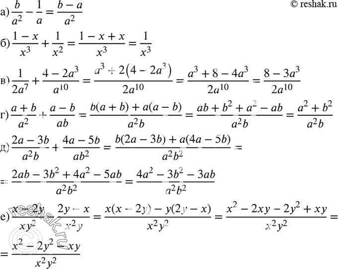
76. Выполните сложение или вычитание:
а) b/a2 - 1/a;
б)
в)
г)
д)
е)
*размещая тексты в комментариях ниже, вы автоматически соглашаетесь с пользовательским соглашением