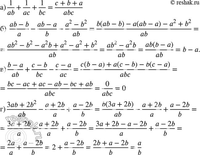
Упр.78 ГДЗ Макарычев Миндюк 8 класс (Алгебра)
Решение #1
Решение #2
Решение #3

Рассмотрим вариант решения задания из учебника Макарычев, Миндюк, Нешков 8 класс, Просвещение:
78. Преобразуйте в дробь выражение:
а) 1/ab + 1/ac+1/bc;
б)
в)
г)
*размещая тексты в комментариях ниже, вы автоматически соглашаетесь с пользовательским соглашением