Упр.421 ГДЗ Макарычев Миндюк 8 класс (Алгебра)
Решение #1
Решение #2

Рассмотрим вариант решения задания из учебника Макарычев, Миндюк, Нешков 8 класс, Просвещение:
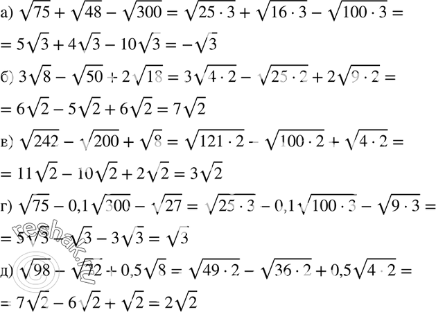
421. Упростите выражение:
а) корень 75 + корень 48 - корень 300;
б) 3 корень 8 - корень 50 + 2 корень 18;
в) корень 242 - корень 200 + корень 8;
г) корень 75 - 0,1 корень 300 - корень 27;
д) корень 98 - корень 72 + 0,5 корень 8.
*размещая тексты в комментариях ниже, вы автоматически соглашаетесь с пользовательским соглашением