Упр.418 ГДЗ Макарычев Миндюк 8 класс (Алгебра)
Решение #1
Решение #2

Рассмотрим вариант решения задания из учебника Макарычев, Миндюк, Нешков 8 класс, Просвещение:
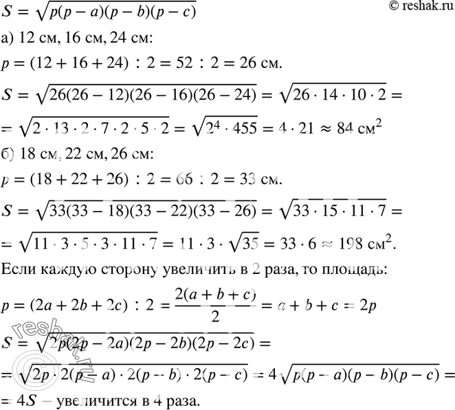
418. (Для работы в парах.) Площадь треугольника S см2 со сторонами a см, b см и с см можно вычислить по формуле Герона:
S = корень р(р- а)(р- b)(р - с), где р — полупериметр треугольника.
Пользуясь калькулятором, найдите площадь треугольника, стороны которого равны:
а) 12 см, 16 см, 24 см; б) 18 см, 22 см, 26 см.
1) Распределите, кто выполняет задание а), а кто — задание б), и выполните вычисления.
2) Проверьте друг у друга правильность вычислений.
3) Обсудите, как изменится площадь треугольника, если каждую из его сторон увеличить в 2 раза. Выскажите предположение и выполните необходимые преобразования.
*размещая тексты в комментариях ниже, вы автоматически соглашаетесь с пользовательским соглашением