Упр.400 ГДЗ Макарычев Миндюк 8 класс (Алгебра)
Решение #1
Решение #2

Рассмотрим вариант решения задания из учебника Макарычев, Миндюк, Нешков 8 класс, Просвещение:
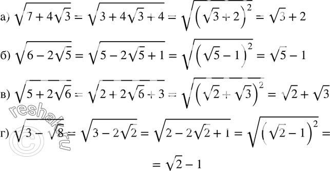
400. Упростите выражение:
а) корень (7+ 4 корень 3);
б) корень (6 - 2 корень 5);
в) корень (5+ 2 корень 6);
г) корень (3+ корень 8).
*размещая тексты в комментариях ниже, вы автоматически соглашаетесь с пользовательским соглашением