Упр.398 ГДЗ Макарычев Миндюк 8 класс (Алгебра)
Решение #1
Решение #2

Рассмотрим вариант решения задания из учебника Макарычев, Миндюк, Нешков 8 класс, Просвещение:
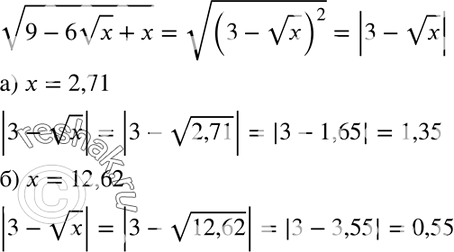
398 (Для работы в парах.) Пользуясь калькулятором, найдите значение выражения корень (9 - 6 корень х + х) при х, равном: а) 2,71; б) 12,62.
1) Обсудите, как можно упростить выражение, и выполните намеченное преобразование.
2) Распределите, кто вычисляет значение выражения для случая а), а кто — для случая б), и выполните их.
3) Проверьте друг у друга правильность выполненных преобразований и вычислений.
*размещая тексты в комментариях ниже, вы автоматически соглашаетесь с пользовательским соглашением