Упр.9.21 ГДЗ Мордковича 11 класс профильный уровень (Алгебра)
Решение #1
Решение #2(записки учителя)
Решение #3(записки школьника)

Рассмотрим вариант решения задания из учебника Мордкович, Семенов 11 класс, Мнемозина:
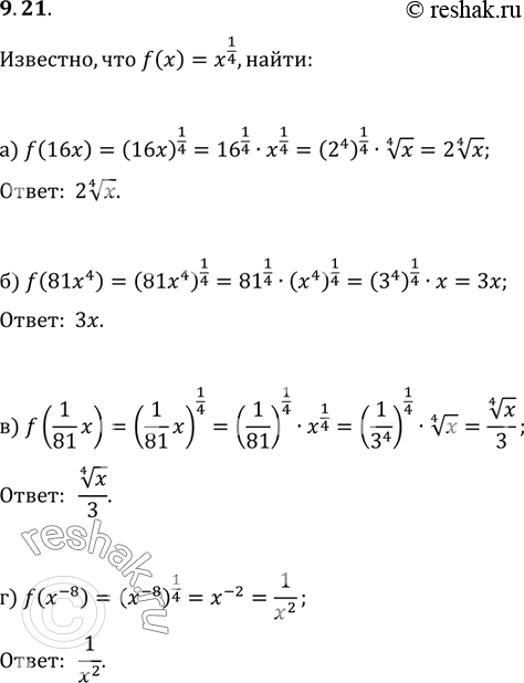
9.21. Известно, что f(x) = х1/4. Найдите:
а) f(16х);б) f(81х4);в) f(1/81x);
г) f(х-8).
*размещая тексты в комментариях ниже, вы автоматически соглашаетесь с пользовательским соглашением