Упр.7.23 ГДЗ Мордковича 11 класс профильный уровень (Алгебра)
Решение #1
Решение #2(записки учителя)
Решение #3(записки школьника)

Рассмотрим вариант решения задания из учебника Мордкович, Семенов 11 класс, Мнемозина:
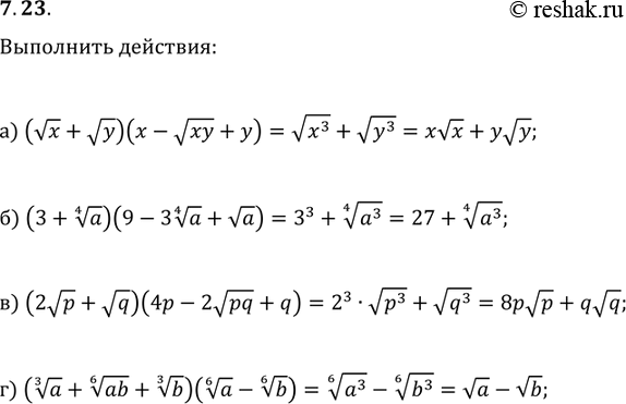
7.23. а) (корень x + корень y)(x - корень ху + у);
б) (3 + корень 4 степени а)(9 — 3 корень 4 степени a + корень a);
в) (2 корень р +корень q)(4p - 2 корень pq + q);.
г) (корень 3 степени a + корень 6 степени ab + корень 3 степени b)(корень 6 степени a - корень 6 степени b.
*размещая тексты в комментариях ниже, вы автоматически соглашаетесь с пользовательским соглашением