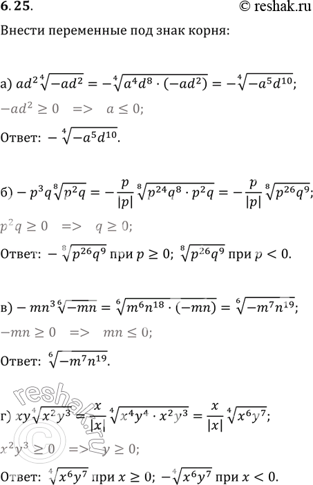
Упр.6.25 ГДЗ Мордковича 11 класс профильный уровень (Алгебра)
Решение #1
Решение #2(записки учителя)

Рассмотрим вариант решения задания из учебника Мордкович, Семенов 11 класс, Мнемозина:
Внесите переменные под знак корня:
а) ad2 корень 4 степени -ad2;
б) -p3q корень 8 степени p2q;
в)-mn3 корень 6 степени -mn;
г)xy корень 4 степени x2y3.
*размещая тексты в комментариях ниже, вы автоматически соглашаетесь с пользовательским соглашением