Упр.33 ГДЗ Макарычев Миндюк 8 класс (Алгебра)
Решение #1
Решение #2

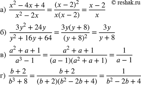
Рассмотрим вариант решения задания из учебника Макарычев, Миндюк, Нешков 8 класс, Просвещение:
33. Сократите дробь:
*размещая тексты в комментариях ниже, вы автоматически соглашаетесь с пользовательским соглашением