Упр.9.1 ГДЗ Мордкович Семенов 11 класс (Алгебра)
Решение #1

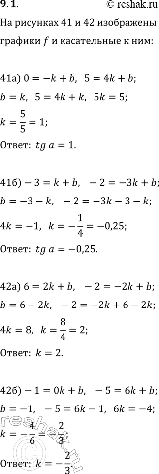
Рассмотрим вариант решения задания из учебника Мордкович, Семенов, Александрова 11 класс, Просвещение:
9.1. а) На рисунке 41, а, б изображён график функции у=f(x) и касательная к нему, проведённая в точке х=а. Найдите тангенс угла между касательной и положительным направлением оси абсцисс.
б) На рисунке 42, а, б изображён график функции у=f(x) и касательная к нему, проведённая в точке х=а. Найдите угловой коэффициент касательной.
*размещая тексты в комментариях ниже, вы автоматически соглашаетесь с пользовательским соглашением