Упр.7.2 ГДЗ Мордкович Семенов 11 класс (Алгебра)
Решение #1

Рассмотрим вариант решения задания из учебника Мордкович, Семенов, Александрова 11 класс, Просвещение:
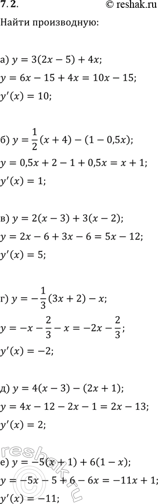
7.2. Найдите производную функции:
а) y=3(2x-5)+4x; г) y=-(1/3)(3x+2)-x;
б) y=(1/2)(x+4)-(1-0,5x); д) y=4(x-3)-(2x+1);
в) y=2(x-3)+3(x-2); е) y=-5(x+1)+6(1-x).
*размещая тексты в комментариях ниже, вы автоматически соглашаетесь с пользовательским соглашением