Упр.6.5 ГДЗ Мордкович Семенов 11 класс (Алгебра)
Решение #1

Рассмотрим вариант решения задания из учебника Мордкович, Семенов, Александрова 11 класс, Просвещение:
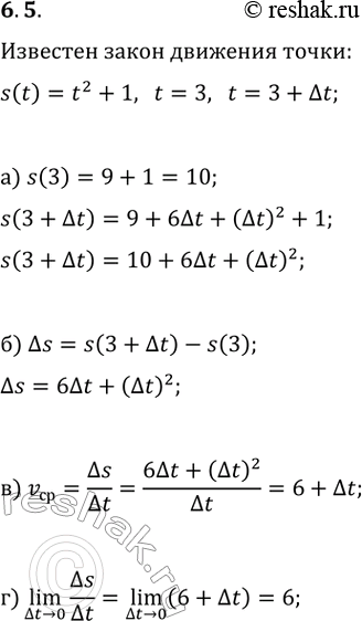
6.5. Известны закон движения точки по координатной прямой s(t)=t^2+1 и время движения от t=3 до 3+?t. Найдите:
а) s(3) и s(3+?t); в) v_ср=?s/?t;
б) ?s; г) (?t>0)lim(?s/?t).
*размещая тексты в комментариях ниже, вы автоматически соглашаетесь с пользовательским соглашением