Упр.39.10 ГДЗ Мордкович Семенов 8 класс (Алгебра)
Решение #1

Рассмотрим вариант решения задания из учебника Мордкович, Семенов, Александрова 8 класс, Бином:
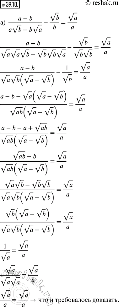
39.10. Докажите тождество:
а) (a - b)/(avb - bva) - vb/b = va/a;
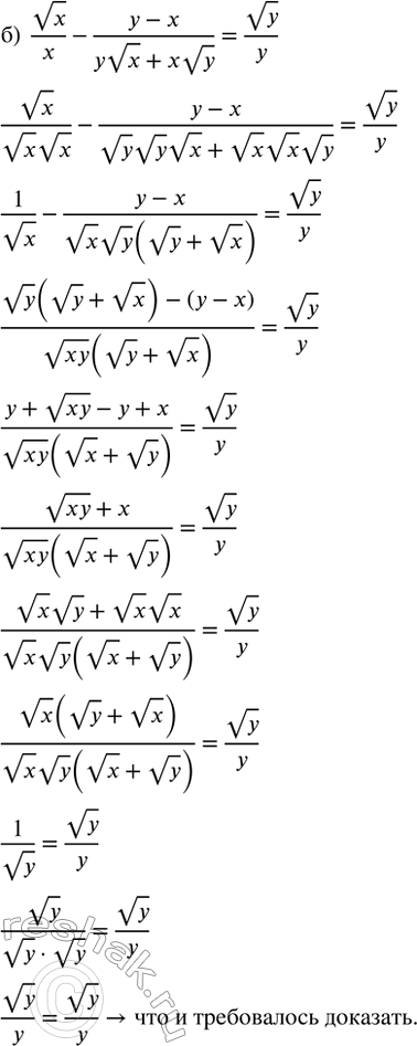
б) vx/x - (y - x)/(yvx + xvy) = vy/y.
*размещая тексты в комментариях ниже, вы автоматически соглашаетесь с пользовательским соглашением