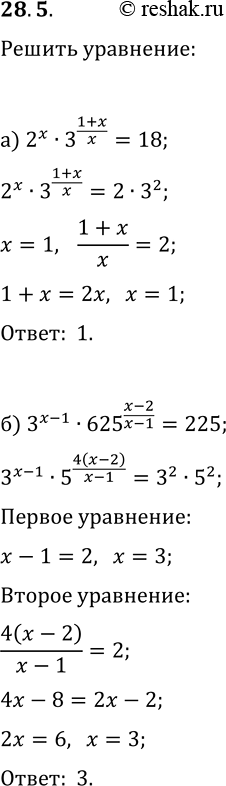
Упр.28.5 ГДЗ Мордкович Семенов 11 класс (Алгебра)
Решение #1

Рассмотрим вариант решения задания из учебника Мордкович, Семенов, Александрова 11 класс, Просвещение:
28.5. Решите уравнение:
а) 2^x·3^((1+x)/x)=18; в) 3^x·5^(2/x)=75;
б) 3^(x-1)·625^((x-2)/(x-1))=225; г) 5^(x-3)·64^((x-4)/(x-3))=5.
*размещая тексты в комментариях ниже, вы автоматически соглашаетесь с пользовательским соглашением