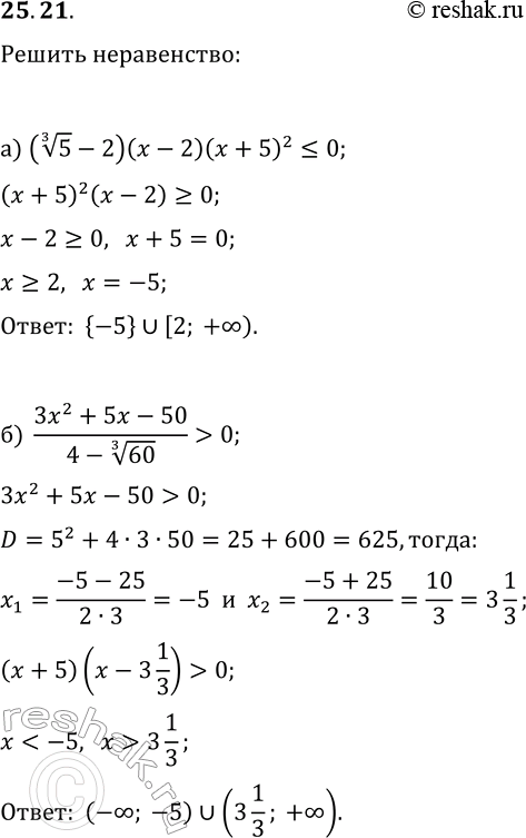
Упр.25.21 ГДЗ Мордкович Семенов 9 класс (Алгебра)
Решение #1

Рассмотрим вариант решения задания из учебника Мордкович, Семенов, Александрова 9 класс, Бином:
25.21. Решите неравенство:
а) (5^(1/3)-2)(x-2)(x+5)^2?0; в) (63^(1/3)-3)(x+4)(x-1)^2>0;
б) (3x^2+5x-50)/(4-60^(1/3))>0; г) (4x^2-25x-56)/(5-150^(1/3))?0.
*размещая тексты в комментариях ниже, вы автоматически соглашаетесь с пользовательским соглашением