Упр.18.19 ГДЗ Мордкович Семенов 8 класс (Алгебра)
Решение #1

Рассмотрим вариант решения задания из учебника Мордкович, Семенов, Александрова 8 класс, Бином:
18.19. Используя метод выделения полного квадрата двучлена, решите уравнение:
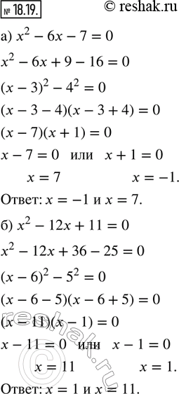
а) x^2 - 6x - 7 = 0;
б) x^2 - 12x + 11 = 0;
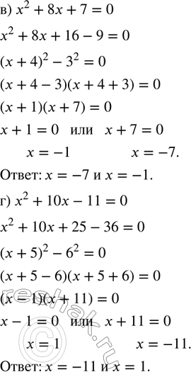
в) x^2 + 8x + 7 = 0;
г) x^2 + 10x - 11 = 0.
*размещая тексты в комментариях ниже, вы автоматически соглашаетесь с пользовательским соглашением