Упр.14.4 ГДЗ Мордкович Семенов 11 класс (Алгебра)
Решение #1

Рассмотрим вариант решения задания из учебника Мордкович, Семенов, Александрова 11 класс, Просвещение:
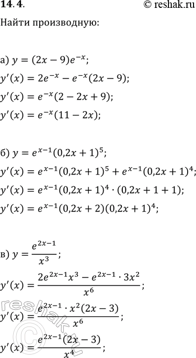
14.4. Найдите производную данной функции:
а) y=(2x-9)e^(-x); г) y=(7-4x)e^x;
б) y=e^(x-1)(0,2x+1)^5; д) y=(3x+4)^4e^(x+6);
в) y=e^(2x-1)/x^3; е) y=e^(4-3x)/x^4.
*размещая тексты в комментариях ниже, вы автоматически соглашаетесь с пользовательским соглашением