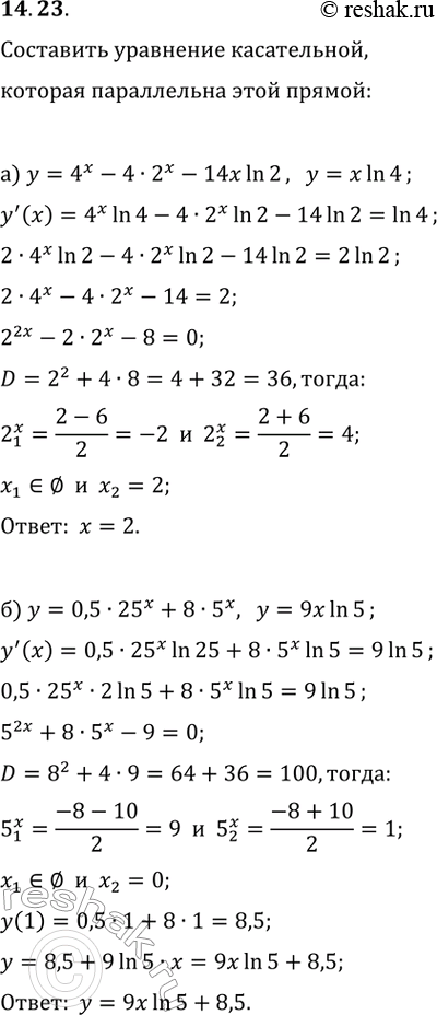
Упр.14.23 ГДЗ Мордкович Семенов 11 класс (Алгебра)
Решение #1

Рассмотрим вариант решения задания из учебника Мордкович, Семенов, Александрова 11 класс, Просвещение:
14.23. а) Касательная к графику функции y=4^x-4·2^x-14xln(2) параллельна прямой y=xln(4). Найдите абсциссу точки касания.
б) Касательная к графику функции y=0,5·25^x+8·5^x параллельна прямой y=9xln(5). Составьте уравнение этой касательной.
*размещая тексты в комментариях ниже, вы автоматически соглашаетесь с пользовательским соглашением