Упр.13.2 ГДЗ Мордкович Семенов 11 класс (Алгебра)
Решение #1

Рассмотрим вариант решения задания из учебника Мордкович, Семенов, Александрова 11 класс, Просвещение:
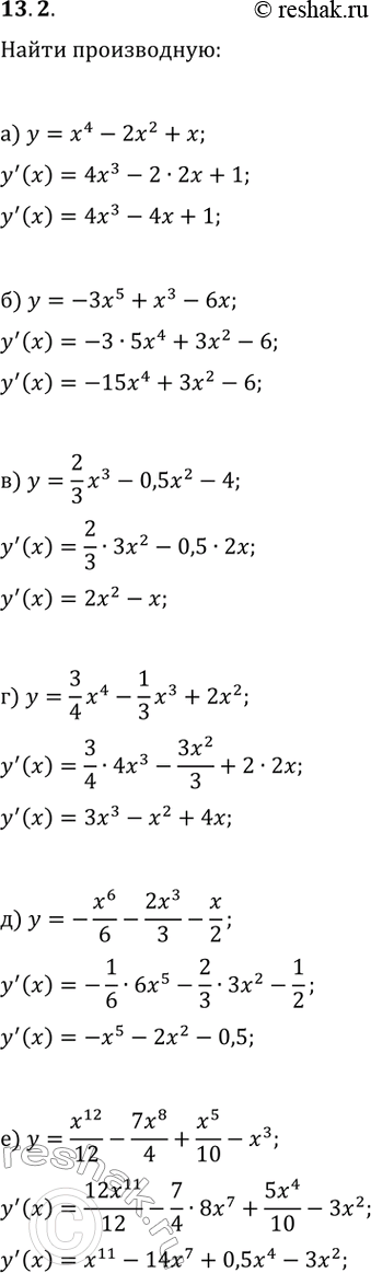
13.2. Найдите производную данной функции:
а) y=x^4-2x^2+x; г) y=(3/4)x^4-(1/3)x^3+2x^2;
б) y=-3x^5+x^3-6x; д) y=-x^6/6-2x^3/3-x/2;
в) y=(2/3)x^3-0,5x^2-4; е) y=x^12/12-7x^8/4+x^5/10-x^3.
*размещая тексты в комментариях ниже, вы автоматически соглашаетесь с пользовательским соглашением