Упр.12.15 ГДЗ Мордкович Семенов 11 класс (Алгебра)
Решение #1

Рассмотрим вариант решения задания из учебника Мордкович, Семенов, Александрова 11 класс, Просвещение:
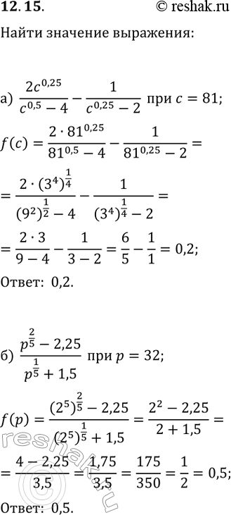
12.15. Найдите значение выражения:
а) 2c^0,25/(c^0,5-4)-1/(c^0,25-2) при c=81;
б) (p^(2/5)-2,25)/(p^(1/5)+1,5) при p=32.
*размещая тексты в комментариях ниже, вы автоматически соглашаетесь с пользовательским соглашением