Упр.10.7 ГДЗ Мордкович Семенов 11 класс (Алгебра)
Решение #1

Рассмотрим вариант решения задания из учебника Мордкович, Семенов, Александрова 11 класс, Просвещение:
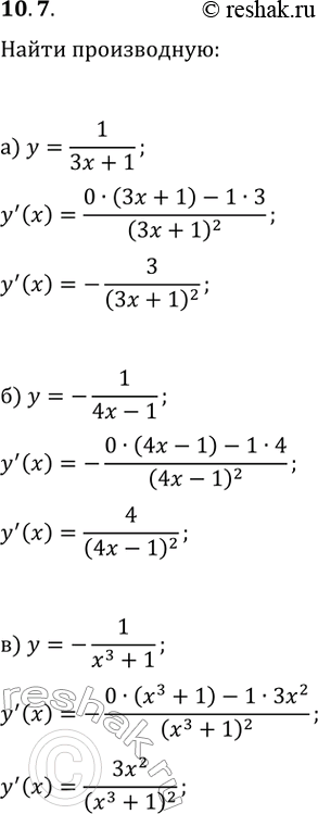
10.7. Используя правила дифференцирования, найдите производную функции:
а) y=1/(3x+1); в) y=-1/(x^3+1); д) y=1/(2x^2+x);
б) y=-1/(4x-1); г) y=1/(x^2-5); е) y=1/(x^2-3x+2).
*размещая тексты в комментариях ниже, вы автоматически соглашаетесь с пользовательским соглашением