Упр.10.5 ГДЗ Мордкович Семенов 11 класс (Алгебра)
Решение #1

Рассмотрим вариант решения задания из учебника Мордкович, Семенов, Александрова 11 класс, Просвещение:
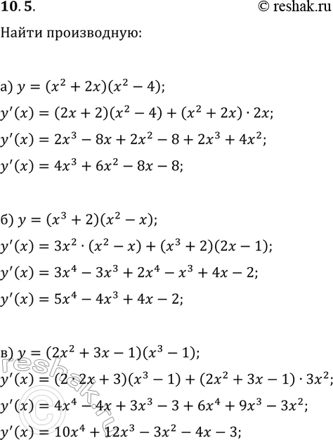
10.5. Используя правила дифференцирования, найдите производную функции:
а) y=(x^2+2x)(x^2-4); г) y=(2x^2-1)(x^2+3x);
б) y=(x^3+2)(x^2-x); д) y=(x^2-3)(x^3+x);
в) y=(2x^2+3x-1)(x^3-1); е) y=(-5x^2-x+4)(x^3+2x^2).
*размещая тексты в комментариях ниже, вы автоматически соглашаетесь с пользовательским соглашением