№221 ГДЗ Рымкевич 10-11 класс (Физика)
Решение #1
Решение #2

Рассмотрим вариант решения задания из учебника Рымкевич 10-11 класс, Дрофа:
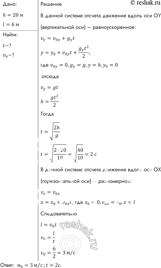
Мальчик бросил горизонтально мяч из окна, находящегося на высоте 20 м. Сколько времени летел мяч до земли и с какой скоростью он был брошен, если он упал на расстоянии 6 м от основания дома?
*размещая тексты в комментариях ниже, вы автоматически соглашаетесь с пользовательским соглашением